拉斯维加斯9888

产品搜索

目今位置: 拉斯维加斯9888首页   >   产品中心   >   深井泵
QJ(D) 型井用潜水电泵系列
产品概述手艺参数性能曲线

产品概述

该产品接纳抗沙结构 ,耐磨损 ,使用寿命长;同时 ,悬浮式设计的叶轮接纳工程塑料材质 ,性能更稳固;全系标配油浸式电机 ,潜水深度超 过 100 米;可普遍应用于墟落、学校、医院、农场、牧场 、修建、小型水厂、家用供水、水箱、浇灌、都会工厂、商业设施供水、水利系统、喷 泉等应用场景 。


使用条件

◆ 温度不凌驾 40℃; 

◆ 固体物含量 ( 按重量计 ) 不大于 0.01%; 

◆ 酸碱 PH 值 6.5~8.5;  

◆ 硫化氢含量不大于 1.5mg/l , 不含任何油类 。( 使用在深井中时 , 井筒应坚持笔直 , 不允许有双向弯曲 。)


型号说明

image.png


其他型号的名称

image.png

产品结构

image.png

B80QJD2手艺参数

型号电压(功率(kw)口径(mm)外径(mm)流量m?/h
11.5234
1B80QJD2-34/8-0.42200.43388扬程(m)42403832238
2B80QJD2-42/10-0.62200.63388535047402912
3B80QJD2-50/12-0.82200.83388636056483414
4B80QJD2-58/14-0.92200.93388747066564015
5B80QJD2-74/18-1.12201.13388959085725124
6B80QJD2-106/26-1.52201.533881371241141047228


B80QJD3手艺参数


型号电压(功率(kw)口径(mm)外径(mm)流量m?/h
23456
1B80QJD3-32/8-0.42200.43388扬程(m)353330251910
2B80QJD3-40/10-0.62200.63388434138322314
3B80QJD3-48/12-0.82200.83388524946362716
4B80QJD3-56/14-0.92200.93388605754463420
5B80QJD3-72/18-1.12201.13388787370624828
6B80QJD3-102/25-1.52201.53388108104100856342

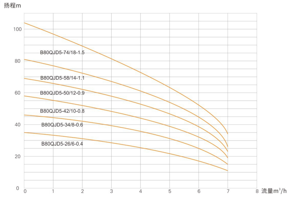
B80QJD5手艺参数



型号电压(功率(kw)口径(mm)外径(mm)流量m?/hol1234567
1B80QJD5-26/6-0.4220/3800.45088扬程(m)3533323028241811
2B80QJD5-34/8-0.6220/3800.650884644424037322415
3B80QJD5-42/10-0.8220/3800.850885855535147403119
4B80QJD5-50/12-0.9220/3800.950886966636156483723
5B80QJD5-58/14-1.1220/3801.150888177747165564326
6B80QJD5-74/18-1.5220/3801.5508810499959184725534



90QJD系列2T手艺参数


型号电压(功率(kw)口径(mm)外径(mm)流量m?/ho123456
190QJD2-35/7-0.372200.373396扬程(m)4643353123125
290QJD2-50/9-0.552200.55339660565044362613
390QJD2-60/11-0.75220/3800.75339672686058483722
490QJD2-90/16-1.1220/3801.13396104999084705431
590QJD2-125/20-1.5220/3801.53396135130125108906739
690QJD2-140/23-1.8220/3801.833961501431401211017745
790QJD2-160/26-2.2220/3802.233962001811601381128551
890QJD2-235/36-3.0220/3803339626025823519512831
990QJD2-310/48-4.03804339634534231025016543
1090QJD2-400/62-5.53805.5339645044540033322375
1190QJD2-505/78-7.53807.53396560535505416282107



90QJD系列4T手艺参数



型号电压N功率(kw)口径(mm)外径(mm)流量m?/ho123456789
190QJD4-25/5-0.372200.375096扬程(m)3029272625201714105
290QJD4-35/7-0.552200.5550964240383635292420147
390QJD4-45/9-0.75220/3800.7550965451494645373125189
490QJD4-58/12-1.1220/3801.1509671686561584942342312
590QJD4-7/16-1.5220/3801.5509695918682776555453116
690QJD4-85/18-1.8220/3801.850961071039792857362503518
790QJD4-100/20-2.2220/3802.250961191171131081008274563920
890QJD4-140/20-3.0220/38035096165158150145140129115957644
990QJD4-180/35-4.0380450962152071991891801691501219252
1090QJD4-230/44-5.53805.5509627526325124023021319015612375
1190QJD4-280/54-7.53807.5509633532331129528026523719315088

90QJD系列6T手艺参数



型号电压(功率(kw)口径(mm)外径(mm)流量m?/h023456789101112
190QJD6-30/6-0.75220/3800.755096扬程(m)373635343230292623191510
290QJD6-40/8-1.1220/3801.15096504847454240383430252014
390QJD6-50/10-1.5220/3801.55096626059575350484338322517
490QJD6-56/11-1.8220/3801.85096686665625956524742352819
590QJD6-70/13-2.2220/3802.25096817876736970625649413322
690QJD6-90/17-3.0220/3803509610510096939190827465574228
790OJD6-115/22-4.03804509613513112712412011511010596867055
890QJD6-155/29-5.53805.550961751731681631591551471391261139272
990QJD6-190/36-7.53807.550962202132051981941901801701531361i187


90QJD系列10T手艺参数





型号电压《》功率(kw)口径(mm)外径(mm)流量m?/h0810121415.5
190QJD10-24/5-1.1220/3801.16796扬程(m)322724211816
290QJD10-32/7-1.5220/3801.56796423532282318
390QJD10-37/8-1.8220/3801.86796474037322621
490QJD10-42/10-2.2220/3802.26796524742373027
590QJ10-52/13-3.0220/380306796675852484235
690QJ10-72/17-4.038046796927772665848
790QJ10-92/23-5.53805.5679612210092847464
890QJ10-122/30-7.53807.567961621321221129787



90QJD系列15T手艺参数


型号电压功率(kw)口径(mm)外径(mm)流量m?/ho810121516182022
190QJD15-21/6-1.5220/3801.56796扬程(m)363026252220171511
290QJD15-25/7-1.8220/3801.86796423430292623201713
390QJD15-32/9-2.2220/3802.26796544439373330262217
490QJ15-44/12-3.0220/38036796725952494440342922
590QJ15-57/16-4.038046796927770675754463932
690QJ15-77/21-5.53805.5679612210294877770625242
790QJ15-97/27-7.53807.567961521321221129792776754




125QJ系列8T手艺参数

型号电压功率(kw)口径(mm)外径(mm)流量m?/ho246810121416
1125QJ8-62/7-1.5S3801.558132扬程(m)72686664625234228
2125QJ8-82/9-2.2S3802.258132928987858265422710
3125QJ8-102/12-3.0S38035813212712211210710287634512
4125QJ8-122/15-4.0S380458132152144134129122102705014
5125QJ8-162/20-5.5S3805558132202192182172162132925817
6125QJ8-222/28-7.5S3807.5581322722622522422221871409752
7125QJ8-252/34-9.2S3809.25813232229928727025220217312266
8125QJ8-302/40-11S380115813237235033331430225120214580
9125QJ8-352/48-13S380135813245241639837535230024017292
10125QJ8-402/54-15S3801558132502470448422402338272192102


6SP系列手艺参数

型号电压(功率(kw)口径(mm)外径(mm)流量m/ho369121517182124
16SP(M)17-8/1-0.75-D4220/3800.75100144扬程(m)111111101098764
26SP(M)17-16/2-1.1-D4220/3801.11001442222222119171615128
36SP(M)17-24/3-1.5-D4220/3801.510014433333231292624221712
46SP(M)17-32/4-2.2-D4220/3802.210014444444342393532302315
56SP(M)17-39/5-3.0-D4220/380310014455555452494439372919
66SP17-55/7-4.0-D43804100144
777573686155524027
76SP17-71/9-5.5-D43805.510014499999794887971675235
86SP17-87/11-7.5-D43807.51001441211211i91151079687826342


150QJD系列5T手艺参数

型号电压功率(kw)口径(mm)外径(mm)流量m?/h024568101112
1D150QJD5-22/2-0.552200.5550135扬程(m)2726232220161296
2D150QJD5-32/3-0.752200.755013542383532312416127
3D150QJD5-44/4-1.1220/3801.150135525147444133231811
4D150QJD5-57/5-1.5220/3801.550135676560575343302416
5D150QJD5-77/7-2.2220/3802.250135928881777057392918


150QJD系列8T手艺参数

型号电压()功率(kw)口径(mm)外径(mm)流量m?/ho24681012141516
1D150QJD8-22/2-0.752200.5567135扬程(m)2726252422191612118
2D150QJD8-32/3-1.1220/3801.16713539383735322722171511
3D150QJD8-42/4-1.5220/3801.56713552514643423428211713
4D150QJD8-52/5-2.2220/3802.26713567656158524436282318


150QJD系列15T手艺参数

型号电压(功率(kw)口径(mm)外径(mm)流量m/ho68101215182022242628
1DH150QJ15-26/3-1.5220/3801.1100135扬程(m)2422212019181514121097
2DH150QJ15-34/4-2.2220/3801.510013534302928272621191714128
3DH150QJ15-42/5-3220/3802.2100135443938363532262320171310
4DH150QJ15-57/7-4220/3803100135544846444240343025201712


B80QJD2 性能曲线

image.png

B80QJD3 性能曲线、

image.png

B80QJD5 性能曲线

image.png

90QJD系列2T性能曲线

image.png

90QJD系列4T性能曲线

image.png

90QJD系列6T性能曲线

image.png

90QJD系列10T性能曲线

image.png

90QJD系列15T性能曲线

image.png

125QJ系列8T性能曲线

image.png


6sp系列性能曲线

image.png

150QJD系列5T性能曲线

image.png

150QJD系列8T性能曲线

image.png

150QJD系列15T性能曲线

image.png

网站地图